Research
1. Role of syringolin A in the interaction of Pseudomonas syringae pv. syringae with plants

- Syringolin A covalently bound to the N-terminal Threonine (T1) of the catalytic beta-5 yeast proteasome subunit
(1) Wäspi, U., Schweizer, P., and Dudler, R. (2001). Syringolin reprograms wheat to undergo hypersensitive cell death in a compatible interaction with powdery mildew. Plant Cell 13, 153-161.
(2) Michel, K., Abderhalden, O., Bruggmann, R., and Dudler, R. (2006) Transcriptional changes in powdery mildew infected wheat and Arabidopsis leaves undergoing syringolin-triggered hypersensitive cell death at infection sites. Plant Mol. Biol. 62, 561-578.
(3) Groll, M., Schellenberg, B., Bachmann, A. S., Archer, C. R., Huber, R., Powell, T. K., Lindow, S., Kaiser, M., and Dudler, R. (2008). A plant pathogen virulence factor inhibits the eukaryotic proteasome by a novel mechanism. Nature 452, 755-758.
2. Function and occurrence of syrbactins

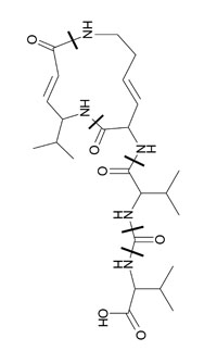
- Structure of glidobactin A (Oka et al., J. Antibiot. 41, 1338-1350 (1988)).
(1) Groll, M., Schellenberg, B., Bachmann, A. S., Archer, C. R., Huber, R., Powell, T. K., Lindow, S., Kaiser, M., and Dudler, R. (2008). A plant pathogen virulence factor inhibits the eukaryotic proteasome by a novel mechanism. Nature 452, 755-758.
(2) Coleman, C.S., Rocetes, J. P., Park, D.J., Wallick, C. J., Warn-Cramer, B. J., Michel, K., Dudler, R., and Bachmann, A. S. (2006) Syringolin A, a new plant elicitor from the phytopathogenic bacterium Pseudomonas syringae pv. syringae, inhibits the proliferation of neuroblastoma and ovarian cancer cells and induces apoptosis. Cell Prolif. 39, 599-609.
(3) Amrein, H., Makart, S., Granado, J., Shakya, R., Schneider-Pokorny, J., and Dudler, R. (2004). Functional analysis of genes involved in the synthesis of syringolin A by Pseudomonas syringae pv. syringae B301D-R. Molec. Plant-Microbe Interact. 17, 90-97.
(4) Schellenberg, B., Bigler, L., and Dudler R. (2007). Identification of genes involved in the biosynthesis of the cytotoxic compound glidobactin from a soil bacterium. Environ. Microbiol. 9, 1640-1650.
3. Biosynthesis and regulation of syringolin and syringolin-like molecules

- Structure of syringolin A
(1) Wäspi, U., Blanc, D., Winkler, T., Rüedi, P., and Dudler, R. (1998a). Syringolin, a novel peptide elicitor from Pseudomonas syringae pv. syringae that induces resistance to Pyricularia oryzae in rice. Molec. Plant-Microbe Interact. 11, 727-733.
(2) Wäspi, U., Hassa, P., Staempfli, A., Molleyres, L.-P., Winkler, T., and Dudler, R. (1999). Identification and structure of a family of syringolin variants: Unusual cyclic peptides from Pseudomonas syringae pv. syringae that elicit defense responses in rice. Microbiol. Res. 154, 1-5.
(3) Groll, M., Schellenberg, B., Bachmann, A. S., Archer, C. R., Huber, R., Powell, T. K., Lindow, S., Kaiser, M., and Dudler, R. (2008). A plant pathogen virulence factor inhibits the eukaryotic proteasome by a novel mechanism. Nature 452, 755-758.
(4) Amrein, H., Makart, S., Granado, J., Shakya, R., Schneider-Pokorny, J., and Dudler, R. (2004). Functional analysis of genes involved in the synthesis of syringolin A by Pseudomonas syringae pv. syringae B301D-R. Molec. Plant-Microbe Interact. 17, 90-97.